专业 • 积极 • 守法 • 正派 • 共享

产品展示

Product

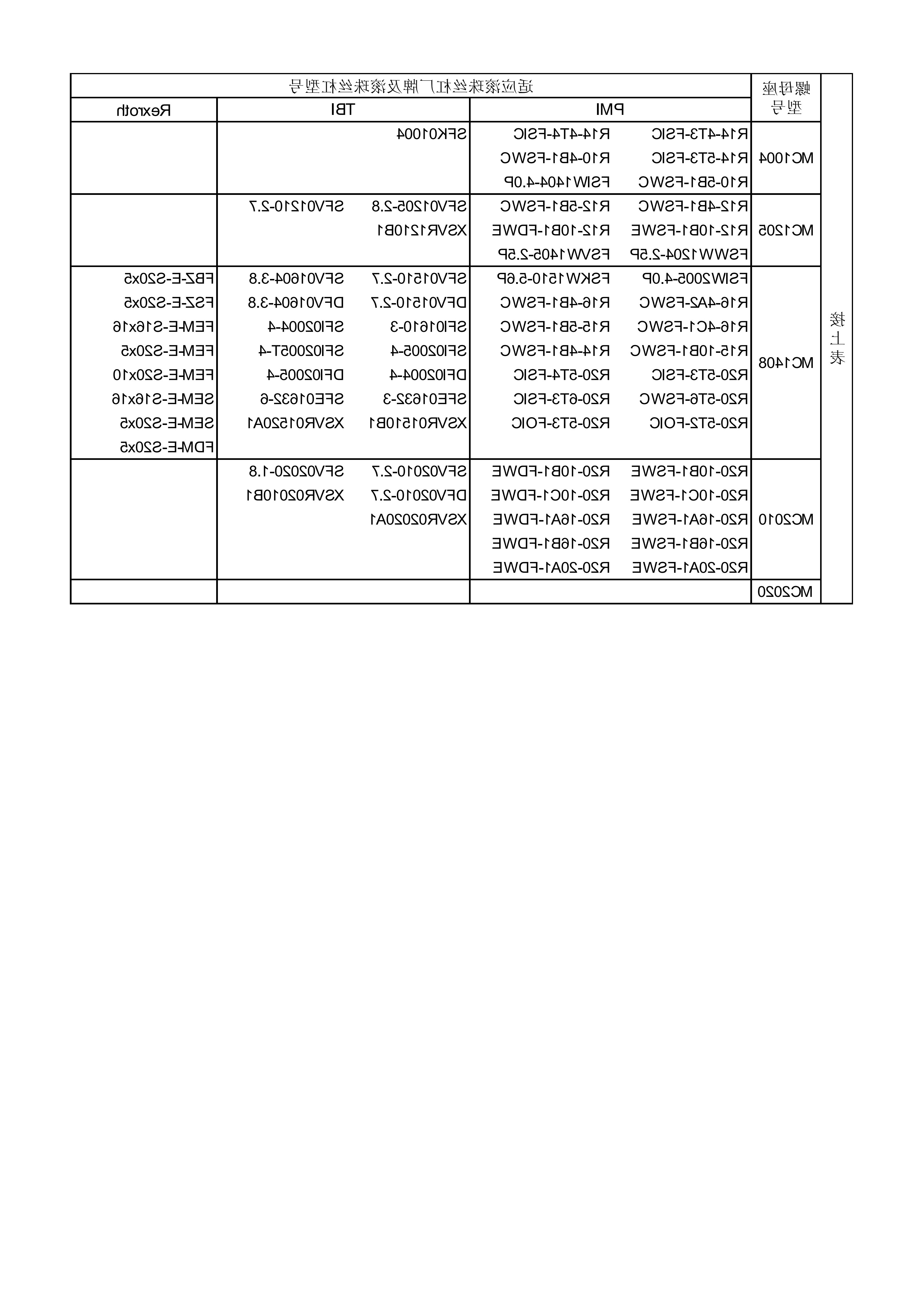
MC系列滚珠丝杠专用螺母座

公司研发和生产全型号世界著名厂商的滚珠丝杠专用螺母承座,特别是MGD/MGS系列,其安装尺寸完全匹配标准化轧制滚珠丝杠螺母。各产品型号与台湾嵩阳SYK,日本THK,日本NSK,MISUMI,德国Rexroth相应型号通用。NH系列为我公司国际首创,在汇总了国际著名滚珠丝杠生产商螺母标准的基础上,推出了各厂商间通用的螺母座安装尺寸。MC系列具体型号:MC1004、MC1205、MC1408、MC2010。
文档下载
产品详情
图档下载
PDF下载
2D图档
3D图档
MC系列螺母座2D
文档下载
MC系列螺母座3D
文档下载